|

Умножение, деление и степенуване на едночлени.

Вече се запознахме с понятието едночлен и научихме кои едночлени са подобни и как да ги събираме и изваждаме. Време да се научим на останалите действия с едночлени, а именно- умножение, деление и степенуване на едночлени. Правилата са лесни и много приятни, ако сме си научили уроците дотук!

Умножение на едночлени

Нека умножим тези два едночлена:

А = 2ab и B = 6abx

Прилагаме разместителното свойство на умножението, както и правилата за степенуване:

A . B = (2ab).(6abx) = (2.6).(a.b.a.b).x = 12a2 b2 x

Разбира се не е нужно всеки път да групираме по този начин множителите в скоби, можем веднага да запишем краен отговор. Важното е да “подредим” едночлена като започнем от числовата константа и след това запишем буквите в азбучен ред със съответните им степени т.е. да го приведем в нормален вид.

А сега да умножим следните два едночлена:

M = 7abx4 и N = 30b2x7

Произведението им е равно на:

M.N = (7abx4).(30b2x7) = 210ab3x11

Произведението на едночлени е едночлен! При умножението на едночлени привеждане произведението им в нормален вид.

Степенуване на едночлени

За да степенуваме едночлен, използваме правилото на степенуване на произведение. Достатъчно да “повдигнем” на съответната степен всеки множител на едночлена.

Нека запишем на колко е равен А3 , ако А = 4ab2

А3 = (4ab2)3 = 43a3b6

Всъщност ние сме степенували едночлени още в 6-ти клас. Сега допълваме знанията си с нови понятия. Нека степенуваме още един едночлен: M = 0,1a2bxy4

Сега запишем на колко е равен едночленът на втора степен, а след това- на трета.

M2 = (0,1a2bxy4)2 = 0,01a4b2x2y8

M3 = (0,1a2bxy4)3= 0,001a6b3x3y12

Ако сте забравили правилата за степенуване, може да си ги припомните в секцията 6.клас.

Степента на едночлен е също едночлен, когато степенният показател е естествено число. При степенуването на едночлен го привеждаме в нормален вид.

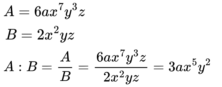
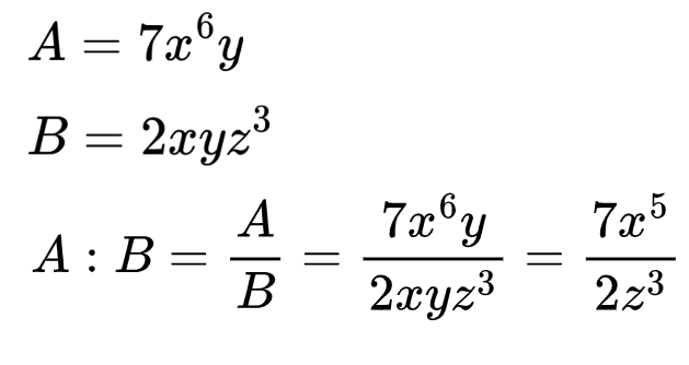
Деление на едночлени

Да разделим два едночлена, като не забравяме, че можем с дробна черта да заменим знака за деление.

Хайде да разгледаме още един пример с деление на едночлени!

За разлика от умножението и степенуването, при делението на едночлени не винаги се получава едночлен.

Нека решим следващия пример:

Намерете частното на следните едночлени: P = 24ax5y и N = 3-1x3y

P : N = (24ax5y):(3-1x3y)

Можем да използваме дробна черта, за да улесним изчисленията си:

Запомнете, че частното на два едночлена невинаги е едночлен!

Намиране на неизвестен едночлен

Когато търсим неизвестен едночлен, прилагаме правилата за намиране на неизвестно число. Тях вече познаваме от решаването на уравнения.

Пример №1:

Да намерим неизвестния едночлен в равенството:

24abx4 = V : 0,5axy2

Ако ви е трудно да се сетите как да намерите едночлена, може да замените знакът за деление с дробна черта и да съставите пропорция:

След това използваме основното свойство на пропорциите и можем да умножим “на кръст” членовете на пропорцията.

V.1 = (24abx4).(0,5axy2)

V = 12a2bx5y2

Пример №2:

Отново трябва да намерим неизвестния едночлен в равенството:

u . 0,5аxy8 = 14ax2y9

Едночленът тук е неизвестен множител. За да го намерим, трябва да разделим произведението на дадения множител.

u = 14ax2y9:0,5аxy8

Можем да заменим делението с дробната черта, за да ни е по-лесно:

След извършването на делението получаваме:

у = 28xy

Пример №3

И за финал на днешния урок нека извършим приведение и да намерим числената стойност на израза A = 0,7xy2 + 2,1xyy — 4y.(—2xy)

за x = —1 и y = 0,5

Извършваме приведение като привеждаме едночлените в нормален вид, ако те не са в такъв и събираме подобните едночлени. Получаваме:

А = 0,7xy2 + 2,1xy2 + 8xy2 = 10,8xy2

Сега да заместим x и y със съответните стойности:

А = 10,8.(—1).0,52 = — 2,7

Обобщение

Умножението на едночлени и степенуването на едночлени със степенен показател естествено число се свеждат до привеждане на едночлените в нормален вид.

Деление на едночлени извършваме като разделим техните числови константи, а за буквената част прилагаме правилата за степенуване.

Може да се упражните със следващия тест!

Ако искаш да си припомниш всички изучени до момента действия с едночлени, изгледай видеото долу:

Similar Posts

Leave a Reply

Your email address will not be published. Required fields are marked *